PerfectStart® Green qPCR SuperMix-AQ601
Product Name
PerfectStart® Green qPCR SuperMix (AQ601)
Patent
Patent Number:ZL202010542947.0 ZL202010543186.0
High-Impact Factor Literature Collection
•Zhang B, He P, Lawrence J E G, et al. A human embryonic limb cell atlas resolved in space and time[J]. Nature, 2023.(IF 64.80)
•Zhang J Y, Wang B, Xu H R, et al. Root microbiota regulates tiller number in rice[J]. Cell, 2025.(IF 45.50)
•Zhao K, Xue H, Li G, et al. Pangenome analysis reveals structural variation associated with seed size and weight traits in peanut[J]. Nature Genetics, 2025. (IF 31.80)
•Xiang B, Zhang M, Li K, et al. The epitranscriptional factor PCIF1 orchestrates CD8+ T cell ferroptosis and activation to control antitumor immunity[J]. Nature Immunology, 2025.(IF 27.80)
•Huang L, Wei M, Li H, et al. GP73-dependent regulation of exosome biogenesis promotes colorectal cancer liver metastasis[J]. Molecular Cancer, 2025.(IF 27.70)
•Deng P, Wang Z, Chen J, et al. RAD21 amplification epigenetically suppresses interferon signaling to promote immune evasion in ovarian cancer[J]. The Journal of Clinical Investigation, 2022.(IF 19.46)
•Huang J, Wu C, Kloeber J A, et al. SLFN5-mediated chromatin dynamics sculpt higher-order DNA repair topology[J]. Molecular Cell, 2023.(IF 19.33)
•Liang Y, Wang J, Xu C, et al. Remodeling Collagen Microenvironment in Liver Using a Biomimetic Nano‐Regulator for Reversal of Liver Fibrosis[J]. Advanced Science, 2023.(IF 17.52)
•Liang Y, Zhang J, Xu C, et al. Biomimetic Mineralized CRISPR/Cas RNA Nanoparticles for Efficient Tumor-Specific Multiplex Gene Editing[J]. ACS nano, 2023.(IF 17.10)
•He F, Liu Z, Xu J, et al. Black phosphorus nanosheets suppress oxidative damage of stem cells for improved neurological recovery[J]. Chemical Engineering Journal, 2023.(IF 16.74)
•He F, Cheng K, Qi J, et al. Black phosphorus nanosheets enhance differentiation of neural progenitor cells for improved treatment in spinal cord injury[J]. Chemical Engineering Journal, 2023.(IF 15.10)
•Chen B, Jin K, Dong J, et al. Hypocretin‐1/Hypocretin Receptor 1 Regulates Neuroplasticity and Cognitive Function through Hippocampal Lactate Homeostasis in Depressed Model[J]. Advanced Science, 2024.(IF 14.30)
•Huang C, Jiang T, Pan W, et al. Ubiquitination of NS1 confers differential adaptation of zika virus in mammalian hosts and mosquito vectors[J]. Advanced Science, 2024.(IF 14.30)
•Liang Y, Zhang J, Wang J, et al. Restoring Tumor Cell Immunogenicity Through Ion‐Assisted p53 mRNA Domestication for Enhanced In Situ Cancer Vaccination Effect[J]. Advanced Science, 2025(IF 14.30)
•Cui B, Guo X, Zhou W, et al. Exercise alleviates neovascular age-related macular degeneration by inhibiting AIM2 inflammasome in myeloid cells[J]. Metabolism, 2023.(IF 13.93)
•Sun D, Zhang X, Yin Z, et al. As-hyperaccumulator Pteris vittata and non-hyperaccumulator Pteris ensiformis under low As-exposure: Transcriptome analysis and implication for As hyperaccumulation[J]. Journal of Hazardous Materials, 2023.(IF 13.60)
Features
• Three-antibody hot-start technology: Delivers high specificity, superior sensitivity, powerful amplification efficiency, and broad species compatibility.
• Dual-cation buffer system: Enhances specificity by reducing primer-dimer formation, ensuring accurate data.
• A Universal Passive Reference Dye: Compatible with various instrument platforms, it corrects for well-to-well signal variations caused by pipetting errors.
Data Presentation
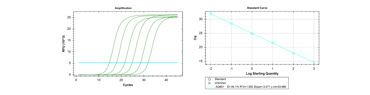
High amplification efficiency

Amplification curves and standard curves are obtained using plasmid DNA with gradient dilution (10 ng to 0.1 pg, 10-fold dilution) as the template. The results show that AQ601 has high amplification efficiency, producing clear and well-defined amplification and standard curves.
Amplification of templates from different species

cDNA obtained from RNA reverse transcription of different species (TransGen, AT311) is used as a template for amplification with TransGen and Company T products (NTC shows no amplification). The results show that the amplification performance of the TransGen product (AQ601) is essentially consistent with that of the Company T product.
Product Information
